Hírek
2026. márc. 18.
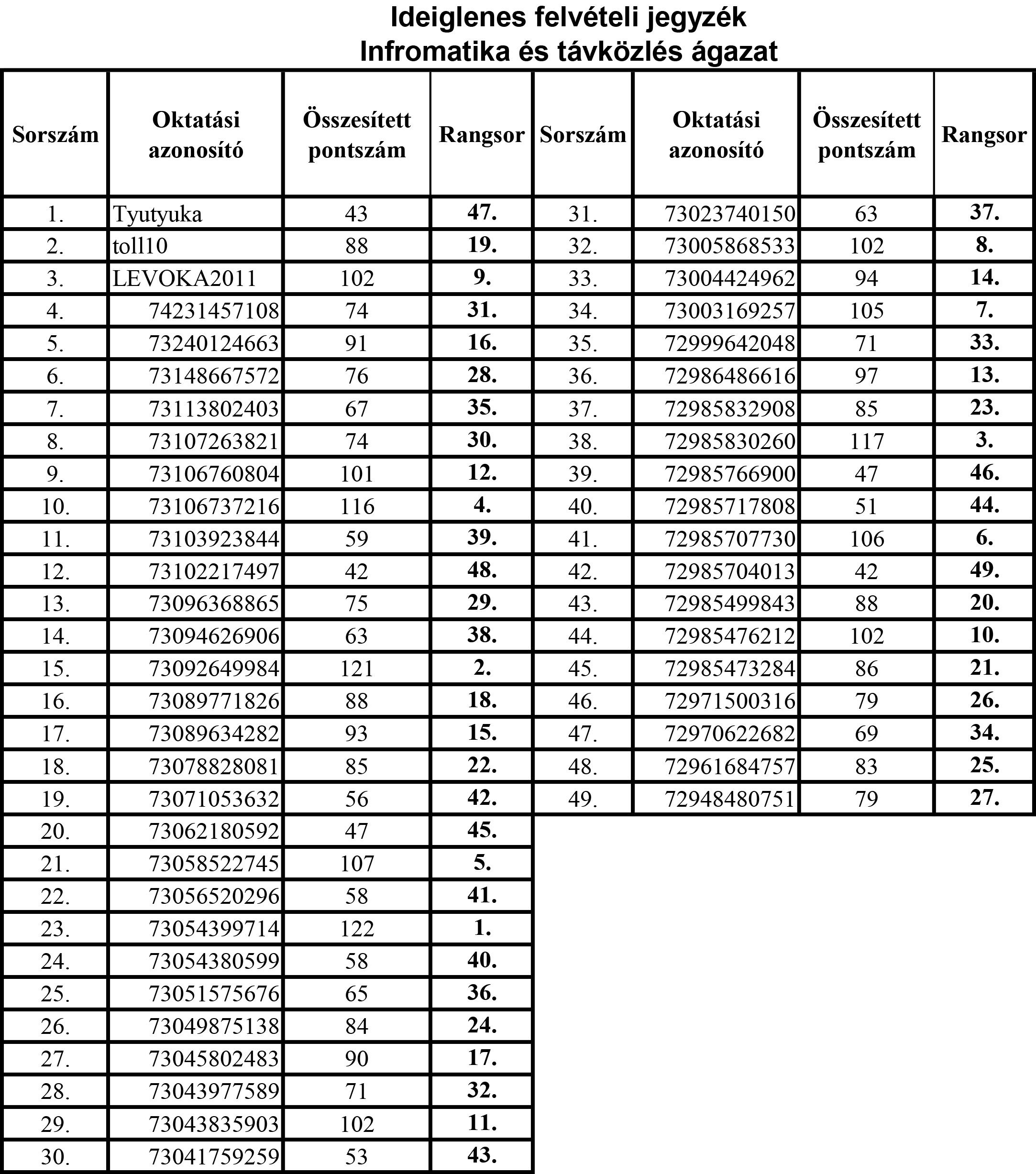
Ideiglenes felvételi rangsor
KSZC Fehérgyarmati Petőfi Sándor Technikumának ideiglenes felvételi rangsora


KAPCSOLÓDÓ HÍREK

Petőfi-hetek 2026. március 9-20.
Kisvárdai SZC Fehérgyarmati Petőfi Sándor Technikum Petőfi-hetek programja
2026. márc. 4.

Miért a Petőfi a legjobb választás?
Még nem döntötted el, hova tovább 8. után? 🤔 Bizonytalan vagy a pályaválasztásban? Gyere, tarts velünk egy virtuális sétára a KSZC Fehérgyarmati Petőfi Sándor Technikumban! Ebben a videóban megmutatjuk, milyen nálunk az élet, beleshetsz a tantermekbe, és megnézheted, hol töltheted a következő éveidet.
2026. febr. 4.


